ggforestplotR


R-CMD-check

Overview

ggforestplotR provides a ggplot2-first workflow for building forest plots from tidy coefficient tables or fitted model objects.

Installation

Install the current development version from GitHub.

#install.packages("remotes")
remotes::install_github("thatoneguy006/ggforestplotR")

Supported workflows

ggforestplotR currently supports two core workflows:

Basic example

library(ggforestplotR)
library(ggplot2)

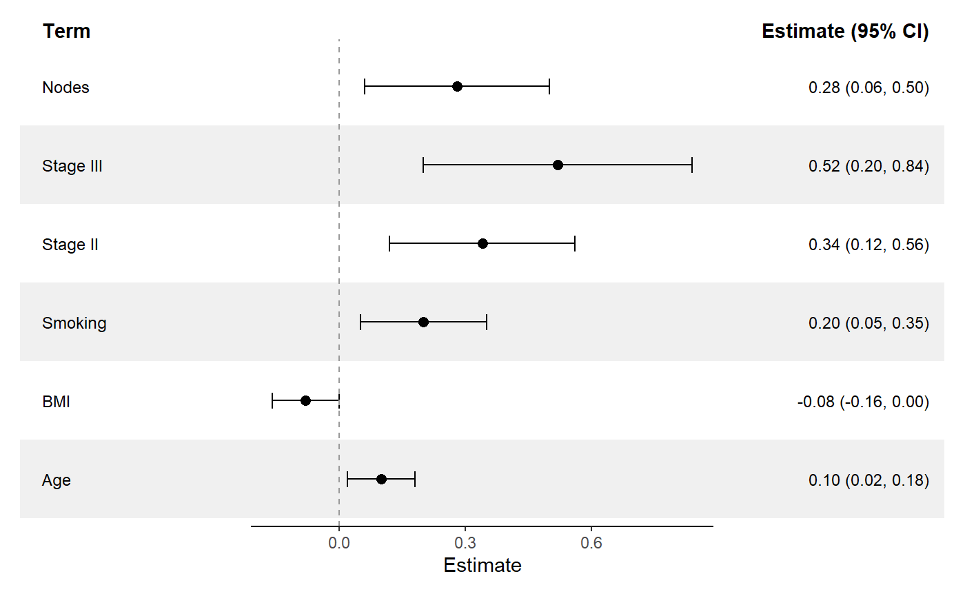
sectioned_coefs <- data.frame(
  term = c("Age", "BMI", "Smoking", "Stage II", "Stage III", "Nodes"),
  estimate = c(0.10, -0.08, 0.20, 0.34, 0.52, 0.28),
  conf.low = c(0.02, -0.16, 0.05, 0.12, 0.20, 0.06),
  conf.high = c(0.18, 0.00, 0.35, 0.56, 0.84, 0.50),
  section = c("Clinical", "Clinical", "Clinical", "Tumor", "Tumor", "Tumor")
)

ggforestplot(
  sectioned_coefs,
  grouping = "section",
  striped_rows = TRUE,
  stripe_fill = "grey94",
  grouping_strip_position = "right"
)

Add a summary table

ggforestplot(
  sectioned_coefs,
  striped_rows = TRUE,
  stripe_fill = "grey94"
) +
  add_forest_table()

Add a split summary table

ggforestplot(
  sectioned_coefs,
  striped_rows = TRUE,
  stripe_fill = "grey94"
) +
  add_split_table()

Learn more

Main functions